ETHERIO BETADEX SULFOBUTIL DE ALTA QUALIDADE (SBE-β-CD)-Excipiente de ciclodextrina de grau farmacêutico-CAS 182410-00-0. Melhora a solubilidade, estabilidade e biodisponibilidade.
	 
 
	
Betadex Sulfobutil Ether Sodium (SBE-β-CD)-Ciclodextrina de grau farmacêutico Excipiente-CAS 182410-00-0
	
Aparência: pó branco, doce, insípido e inócuo
	
Vida de validade: 36 meses
	
Grau: grau de injeção
	
APLICAÇÃO: Farmacêuticos Feild
	
Padrão: USP, EP
	
Solubilidade: ≥100 (25 ℃, g/100ml)
	
Heavy metal: ≤0,0025%
	
Redução de açúcares: ≤0,05%
	
	
O excipiente farmacêutico de sulfobutiléter-β-ciclodextrina não apenas pode aumentar a solubilidade do medicamento, melhorar a estabilidade e a segurança do medicamento, mas também pode reduzir a estimulação no local da injeção de administração, o medicamento atinge rapidamente a concentração sanguínea necessária, prolonga o tempo de ação do medicamento.
	
Drogas intranasais com absorção rápida, ação rápida, alta biodisponibilidade, administração conveniente, fácil de ser aceito pelos pacientes, e pode evitar o efeito do fígado da primeira passagem e outras vantagens, tornou -se um dos pontos de acesso em pesquisa farmacêutica. No entanto, devido à baixa penetração de medicamentos nasais, muitas enzimas na cavidade nasal podem causar degradação e adesão nasal.
	
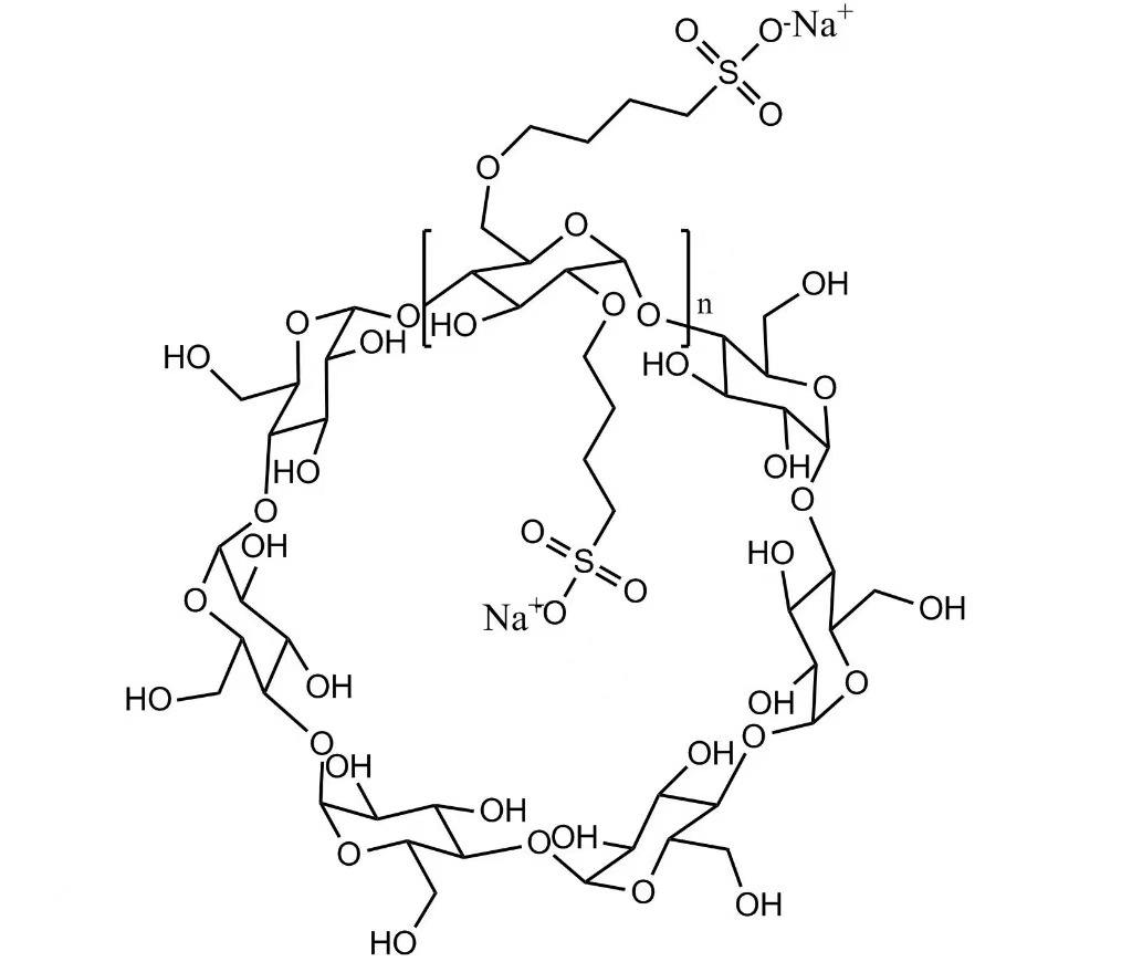
O excipiente farmacêutico de Sulfobutilether-β-ciclodextrina é um sal de sódio produzido quando o Betadex é alquilado por lactona de ácido 1,4-butanesulfônico sob condições alcalinas. É um ânion, derivado de Betadex altamente solúvel em água. O excipiente farmacêutico de sulfobutiléter-β-ciclodextrina pode ser bem combinado com as moléculas de medicamentos para formar não covalentes, aumentando assim a estabilidade, a solubilidade da água e a segurança do medicamento, reduzindo sua toxicidade renal, aliviando a hemólise de medicamentos, controle da taxa de liberação de medicamentos, cobrindo o cheiro ruim, etc.
	
	
	 
 
	
Xi'an Deli Bioquímica Indústria Co., Ltd. é uma empresa de alta tecnologia especializada em pesquisa e desenvolvimento, produção e vendas de ciclodextrina e seus derivados.
Desde o seu estabelecimento em 27 de agosto de 1999, a empresa está aderindo à política de qualidade de "focar em acessórios, qualidade primeiro, serviço sincero, buscando a primeira classe". Após mais de 20 anos de trabalho duro e desenvolvimento, a empresa atualmente possui produtos Deli Deli Hydroxipropyl Betadex, a marca Deli Betadex Sulfobutyl Ether Sodium. Os produtos acima foram registrados e arquivados no FDA.
	
	