Sódio CAS do éter sulfobutílico de Betadex NO 182410-00-0
  • Sódio CAS do éter sulfobutílico de Betadex NO 182410-00-0 Sódio CAS do éter sulfobutílico de Betadex NO 182410-00-0
  • Sódio CAS do éter sulfobutílico de Betadex NO 182410-00-0 Sódio CAS do éter sulfobutílico de Betadex NO 182410-00-0

Sódio CAS do éter sulfobutílico de Betadex NO 182410-00-0

Betadex Sulfobutílico Éter Sódio CAS NO 182410-00-0 - Ciclodextrina de Grau Farmacêutico
Nota: USP/EP
Ensaio: ≥99,0%
Nº CAS: 182410-00-0
Aparência: Pó branco a esbranquiçado
Aplicações: Formulações de medicamentos injetáveis ​​e parenterais, solubilizantes e estabilizadores para APIs pouco solúveis
Embalagem: 500 g/saco; 10 kg/tambor ou embalagem personalizada disponível
Amostra Grátis: 100 g disponível para avaliação
Envio: Envio global disponível
Características: Alta solubilidade em água, excelente perfil de segurança, forte formação de complexo de inclusão

Enviar consulta

Descrição do produto


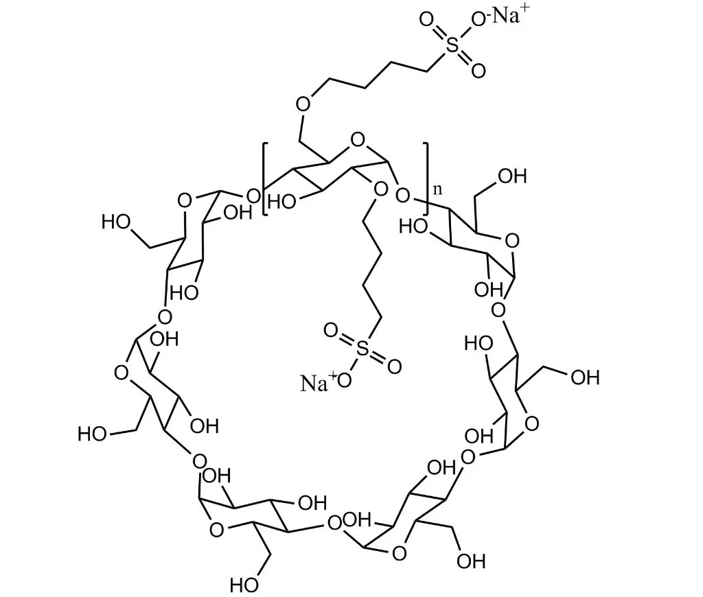
Betadex Sulfobutyl Ether Sodium CAS NO 182410-00-0 é um derivado de ciclodextrina aniônico de alta pureza produzido porXi'an Deli Bioquímica Industry Co., Ltd.. Este sal de sódio é obtido quando Betadex é alquilado pela lactona do ácido 1,4-butanossulfônico em condições alcalinas. Betadex Sulfobutyl Ether Sodium CAS NO 182410-00-0 é altamente solúvel em água e funciona como solubilizante, agente umectante, agente complexante e agente de mascaramento polivalente.

Betadex Sulfobutyl Ether Sódio CAS NO 182410-00-0 é amplamente utilizado emformulações injetáveis, orais, nasais e oftálmicas. Possui forte capacidade de inclusão para medicamentos contendo nitrogênio, melhorando a solubilidade, estabilidade e segurança. Betadex Sulfobutyl Ether Sodium CAS NO 182410-00-0 reduz a toxicidade renal, minimiza a hemólise, controla a liberação do medicamento e mascara odores desagradáveis. DELI fornece amostras para avaliação.

Especificações do produto

Nº CAS:182410-00-0

Fórmula molecular:C42H70-nO35•(C4H8SO3Na)n

Aparência:Pó branco a esbranquiçado

Especificação:500g/saco; 1kg/saco; 10 kg/saco ou tambor; personalizável

Categoria:Excipientes farmacêuticos

Armazenar:Mantenha selado em local seco

Prazo de validade:36 meses

Aplicações:Formulações de medicamentos injetáveis ​​e parenterais, medicamentos orais, nasais e oftálmicos, solubilizantes e estabilizadores para APIs pouco solúveis, liberação controlada e mascaramento de odores indesejáveis


Especificações do produtoBetadex Sulfobutyl Ether Sódio CAS NO 182410-00-0 Certificado de Análise


Introdução da empresa

Xi'an Deli Bioquímica Industry Co., Ltd., fundada em 1999, é uma empresa de alta tecnologia especializada noP&D, produção e venda de derivados de ciclodextrina. A DELI opera linhas de produção dedicadas paraHidroxipropil Betadex (HPBCD)eBetadex Sulfobutílico Éter Sódico (SBECD), com rigoroso controle de qualidade e instalações de sala limpa. A empresa possui mais de 26 anos de experiência, gestão certificada pela ISO 9001:2015 e forneceexcipientes farmacêuticos estáveis ​​e de alta qualidadepara clientes em todo o mundo.

Perguntas frequentes

P: DELI é o fabricante do Betadex Sulfobutyl Ether Sodium?
R: Sim, a DELI produz Betadex Sulfobutil Éter Sódico e Hidroxipropil Betadex em suas instalações dedicadas. O tamanho do lote DELI é de aproximadamente 2,5 toneladas e a produção anual excede 200 toneladas, garantindo um fornecimento consistente a longo prazo.


P: Posso obter uma amostra?
R: Sim, as amostras estão disponíveis para avaliação.


P: Quais padrões este produto atende?
A: Betadex Sulfobutyl Ether Sódio CAS NO 182410-00-0 atendePadrões USP e EP.


P: Como é enviado?
R: Por expresso, aéreo ou marítimo com entrega global.


P: Qual é a quantidade mínima de pedido?
R: MOQ começa em 500g; quantidades maiores podem ser personalizadas.



Hot Tags: Betadex Sulfobutyl Ether Sódio CAS NO 182410-00-0, fabricantes, fornecedores, China, fábrica, a granel, amostra grátis, feito na China, em estoque, atacado, comprar

Categoria Relacionada

Enviar consulta

Por favor, sinta-se livre para dar o seu inquérito no formulário abaixo. Responderemos em 24 horas.
icon
X
Utilizamos cookies para lhe oferecer uma melhor experiência de navegação, analisar o tráfego do site e personalizar o conteúdo. Ao utilizar este site, você concorda com o uso de cookies. política de Privacidade
Rejeitar Aceitar