Notícias da indústria

Soluções baseadas em ciclodextrina para melhoria de solubilidade e estabilidade

2025-12-23 - Deixe-me uma mensagem

Soluções baseadas em ciclodextrina para melhoria de solubilidade e estabilidade

Visão geral técnica de Hidroxipropil Betadex e Betadex Sulfobutil Éter Sódico

As ciclodextrinas são amplamente reconhecidas pela sua capacidade de melhorar a solubilidade e estabilidade de compostos pouco solúveis ou quimicamente sensíveis. Devido à sua estrutura molecular cíclica única, as ciclodextrinas e seus derivados tornaram-se excipientes funcionais importantes nos campos de formulação farmacêutica, química e relacionados. Em resposta aos crescentes requisitos técnicos e regulamentares, a Xi’an Deli Biochemical aprimorou ainda mais a documentação técnica e o suporte ao produto para seus principais derivados de ciclodextrina:hidroxipropil betadex (HPBCD) e betadex sulfobutil éter sódico (SBECD).


Características Estruturais e Desempenho Funcional de Ciclodextrinas

As ciclodextrinas são oligossacarídeos cíclicos compostos por unidades de glicose ligadas por ligações glicosídicas α-1,4. Sua arquitetura molecular apresenta uma superfície externa hidrofílica e uma cavidade interna relativamente hidrofóbica, permitindo a formação de complexos de inclusão com uma ampla gama de moléculas hóspedes. A modificação química da estrutura da ciclodextrina pode aumentar significativamente a solubilidade aquosa e ampliar a versatilidade de aplicação.


Hidroxipropil Betadex (HPBCD)


Hidroxipropil betadex é uma β-ciclodextrina quimicamente modificada projetada para superar a solubilidade limitada das ciclodextrinas nativas. Sua maior solubilidade em água e compatibilidade favorável tornam o HPBCD adequado para aplicações que exigem solubilização, estabilização e flexibilidade de formulação eficazes em diversos sistemas.


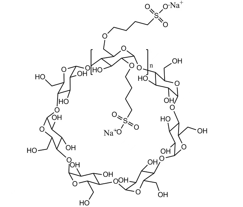
Betadex Sulfobutílico Éter Sódico (SBECD)


Betadex sulfobutil éter sódico é um derivado aniônico da ciclodextrina caracterizado por substituintes de éter sulfobutil. Essa estrutura melhora as interações eletrostáticas com compostos específicos, proporcionando melhor solubilidade, estabilidade complexa e robustez da formulação em aplicações mais exigentes.

Informações padronizadas sobre produtos e suporte técnico

Para melhor apoiar o desenvolvimento de formulações, avaliação de qualidade e processos de aquisição, a Xi’an Deli Biochemical atualizou sistematicamente as informações do produto para HPBCD e SBECD, incluindo:


  • Especificações de produtos e parâmetros analíticos claramente definidos e padronizados
  • Certificados de Análise (COA) específicos de lote para garantir rastreabilidade e verificação de qualidade
  • Perguntas frequentes técnicas expandidas abordando manuseio, armazenamento e considerações típicas de aplicação
  • Resumos de produtos otimizados projetados para facilitar a análise e seleção técnica eficiente


Estas melhorias destinam-se a aumentar a transparência, reduzir os prazos de avaliação e apoiar o desempenho consistente do produto ao longo do ciclo de fornecimento.


Experiência de fabricação e garantia de qualidade

Fundada em 1999, a Xi’an Deli Biochemical traz 26 anos de experiência na fabricação de derivados de ciclodextrina. A empresa se concentra na produção controlada de hidroxipropil betadex e betadex sulfobutil éter sódico, enfatizando a consistência do processo, a confiabilidade lote a lote e a estabilidade do fornecimento a longo prazo. Práticas estruturadas de gestão da qualidade apoiam os requisitos técnicos, regulatórios e de fornecimento dos clientes.


Escopo de Aplicação e Colaboração Técnica

Com base nos mecanismos de inclusão e estabilização da ciclodextrina, o HPBCD e o SBECD são aplicáveis ​​em vários campos técnicos, incluindo formulações farmacêuticas, especialidades químicas, produtos veterinários e outros sistemas que exigem maior solubilidade e estabilidade. A Xi'an Deli Biochemical continua a se envolver com parceiros por meio de comunicação focada em aplicações e colaboração técnica para apoiar as necessidades de formulação em evolução.


Sobre as empresas da indústria bioquímica de Xi'an Deli

Fundada em 1999, a Xi'an Deli Biochemical Industry Companies é um fabricante especializado de derivados de ciclodextrina, fornecendo hidroxipropil betadex (HPBCD) e betadex sulfobutil éter sódico (SBECD) para clientes globais. Com um foco de longa data na consistência do produto, especificações claras e suporte técnico prático, a empresa continua comprometida em fornecer soluções confiáveis ​​à base de ciclodextrina.


Se você quiser, eu também posso:


  • Otimize ainda mais isso para o Google SEO (sem reduzir o tom técnico)
  • Condense-o em uma versão de “Atualização Técnica” da página do produto
  • Adapte-o para clientes regulatórios/com foco na qualidade


Apenas me diga onde você planeja publicá-lo.


Enviar consulta


icon
X
Utilizamos cookies para lhe oferecer uma melhor experiência de navegação, analisar o tráfego do site e personalizar o conteúdo. Ao utilizar este site, você concorda com o uso de cookies. política de Privacidade
Rejeitar Aceitar